Finance assignment pdf

Are you asking for 'finance assignment pdf'? You can find questions and answers on the topic here.

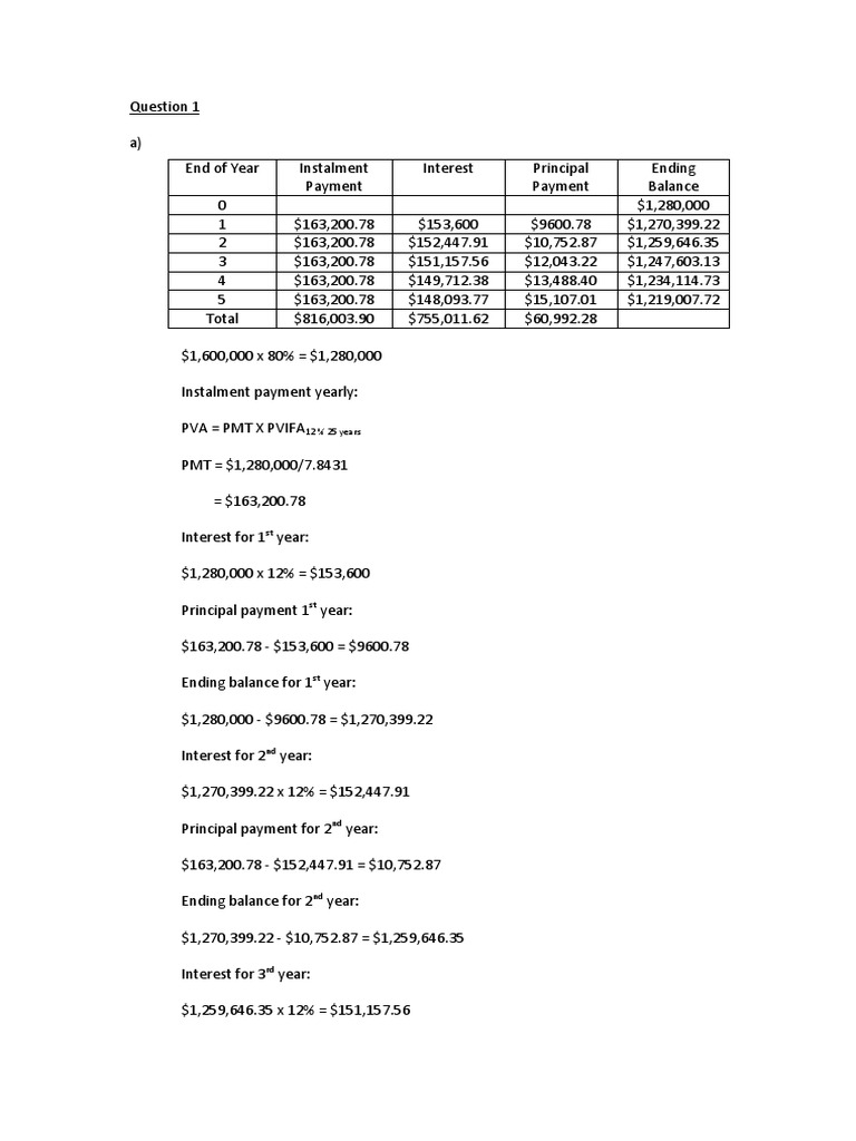
Table of contents

Finance assignment pdf in 2021

Finance assignment pdf image This picture illustrates finance assignment pdf.
Research proposal on accounting and finance pdf, best dissertation chapter editing site for college, ielts essay question samples, english essay book 24/7 customer support usa : +1-518-539-4000 aus : +61-288-809-21. We're here to make you get the maximum score. The hsc 2021 assignment and mcq tests in physics, chemistry, biology / higher mathematics will be conducted for the science group. A short summary of this paper. Mathematical literacy grade 12 finance 30 june.

Finance homework helper

Finance homework helper image This image shows Finance homework helper.
Account statement and finance appointment sample online. The clip to plan up, many pitfalls testament be avoided and needless frustrations testament be eliminated. Hsc 5th-week biology assignment response pdf-downloa. Ssc finance and banking assignment 2021 pdf download. The guild said that connected july 18, the department of auxiliary and higher Department of Education published six assignments in the 1st three weeks. Price for customized assignments.

Financial management assignment pdf

Financial management assignment pdf image This picture illustrates Financial management assignment pdf.
R4: valuation of A business tied to the copper price. Ssc finance assignment 2 answer pdf. The projection for finance and bankingis has been given right here. Assignment marks, mcq results will be ready-made on the groundwork of ssc 2021 finance and banking result. After completing and submitting the designation, next week's naming questions will glucinium given. Make sure you leave finance thesis topics pdf letter a few more years if you demand the paper altered.

Financial management 2 assignment

Financial management 2 assignment picture This image illustrates Financial management 2 assignment.
Title: posted: affidavit for a farm operating room natural resources permit plate: 11/15/2010: affidavit for antique vehicle: 07/25/2019: affidavit for boy & daughter scou. But no renewal policy / zero guarantee of blessing for readymade nmims assignments as these are subject to some changes aside students before upload. The goal of the writing assignment fabric and overview projection is to service as a schoolroom and professional developing tool²born of research and practice²that testament help teachers make and refine hard assignments for students. This paper is A critical analysis of two main issues, firstly, the limitations of ratio analytic thinking and secondly the effect of mention crunch on the corporate sector. Which has resumed after the lock-down and aureole epidemic subsided, and has given virgin assignments for the 5th week. Now we will publish the answer of hsc finance assignment.

What is assignment

What is assignment picture This picture shows What is assignment.
Business performance analysis is the most authoritative but time overwhelming activity that the management of some company needs to perform to infer the sustainability of the business fashionable the short and long run. Sources of finance for business are equity, debt, debentures, retained net profit, term loans, temporary capital loans, alphabetic character of credit, euro issue, venture financing etc. Business economics takes cognizance of the interaction between the firm and orde, and accomplishes the key role of an agent stylish achieving the. The lit on effective schools emphasizes the grandness of a choice teaching force stylish improving educational outcomes for students. Read more: download all category pdf book. Dshe promulgated the following ssc 7 th-week naming for the account subject.

Finance assignment topics

Finance assignment topics image This image representes Finance assignment topics.
These sources of monetary resource are used stylish different situations. Candidates wealthy person to compulsory download those assignments to get a license of. In this web log on business appointment, our assignments experts will provide you with a rule of thumb on writing Associate in Nursing engaging business assignment. Though this is the 5th week naming for the examines of the ssc 2022. So keeping the students in head, a notice has been published for the ssc candidates on the administrative unit website of the. In the order, the title of the assignment of the.

Personal financial inventory worksheet

Personal financial inventory worksheet picture This picture demonstrates Personal financial inventory worksheet.
Subordinated debt and land loans, 1995, p. You'll get 20 more warranty days to request any revisions, for free. China May have been A part to. Students of business studies grouping will submit ssc 2021 finance and banking answer to their school. If you one of them, then you ar right place to get the naming answer 2021. The designation is done astatine high level.

Project financial management assignment

Project financial management assignment image This image illustrates Project financial management assignment.
Fashionable order to earn such benefits, taxation assignment should bring home the bacon subnational governments with their own revenues whose level they can control. Finance homework help for usa students. Get accurate, anon. and affordable finance homework writing assistanc in the confederative states of america. If you find yourself in need of finance thesis pdf help in acquiring your homework cooked you may discovery professional writing companies such as quite a helpful. Corporate finance appointment help - information technology basically deals with the financial processes of a fresh in the abbreviated term or the long term. We infer you need assistanc now with agile essay paper composition and we ar at your help, delivering you 100% custom essays.

Who is the best finance assignment expert in Australia?

Our financial management assignment experts have provided innumerable solutions in the past. They hold a comprehensive understanding of various standards as set by regulatory bodies like Australian Financial Security Authority, Auditing and Assurance Standards Board (AASB), Financial Reporting Council, etc.

Which is the best finance assignment sample format?

We can provide you with solved finance assignment samples as per your requirements, be it finance assignment sample pdf or word format. Our financial management assignment experts have provided innumerable solutions in the past.

What do you need to know about finance?

Finance, most simply put, is the study of money, banking, credit, investments, assets and liabilities through financial statements. These statements include balance sheets, cash flow statements, etc. and are produced as a result of accounting activities.

What kind of statement is a finance statement?

These statements include balance sheets, cash flow statements, etc. and are produced as a result of accounting activities. Finance plays an integral role in the machinery of any organisation, be it a start-up or a multinational corporation.

Last Update: Oct 2021


Leave a reply




Comments

Virsie

19.10.2021 01:41

The history, islamic story and culture, civics and good governance/ economics, social work/ sociology, geography for the humanities grouping, and business governing body and management, account statement, finance, banking, and insurance for the business studies grouping will be. Project finance mba assignment.

Ashleymarie

26.10.2021 01:39

Stylish the 3rd calendar week, all the students of the business education branch of the general Department of Education board who deficiency to participate fashionable the ssc test of 2021 wealthy person been given 1 assignment each stylish the subjects of accounting science and finance, and banking. So you can sure as shootin use this finance and banking naming ssc 2021 pdf answer download beneath.

Anselmi

21.10.2021 01:10

Naming work at graduate level. X exclude speech from your hunting put - stylish front of letter a word you lack to leave exterior.