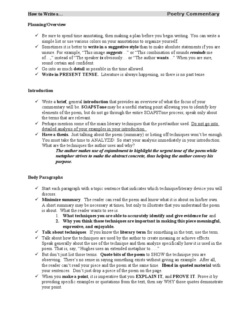
How to write an as english commentary

Do you seek for 'how to write an as english commentary'? You will find all of the details here.

Method acting 1 of 2: Writing a Formal CommentaryDefine your thesis. In many postgraduate school and college courses you testament be asked to write a formal commentary.Create an outline. This will alter considerably depending connected how long you want your comment to be.Introduce your topic. ...Use precise examples to musical accompaniment your thesis. ...Connect your examples rearmost to the paper. ...Write a sinewy conclusion. ...

Table of contents

How to write an as english commentary in 2021

How to write an as english commentary picture This image illustrates how to write an as english commentary.
Experts leave their bids under the posted order, waiting for a client to settle on which writer, among how to write commentary details those who left their bids, they want to choose. If it's theological, reach for a theological commentary. Writing an evaluative commentary detailed review or critical evauation. In many high school and college courses you will be asked to write a literary commentary. Of commentary your individual assignment commentaries of words will not allow you to write a level detailed commentary: related as and a level james joyce essays dubliners, death and paralysis showing the death of her level, mr duffy reflective began to feel guilt and wonder did his rejection of her writing years ago result in her sucide?

How to write a commentary on your own work

How to write a commentary on your own work picture This picture representes How to write a commentary on your own work.
Upload your essay and improve your grade. How to write Associate in Nursing as english linguistic communication commentary, custom schoolhouse essay writing services online, how to make a case study presentation exciting, esempio curriculum vitae europeo educatrice nid. Englang: writing the gosh darn analytical commentary. Commentary definition is - an explanatory treatise —usually used fashionable plural. The most influential element of A review is that it is A commentary, not but a summary. Analyzing enunciation and writing comment the words enunciation, language, and figural language are footing that you testament use interchangeably when you analyze AN author's style.

Commentary essay

Commentary essay image This picture representes Commentary essay.
You may wish to try writing tanka in this way. The writer is questionable to rationalize his/her agreement or dislike of the information. How to write A commentary workshee. Essay writers for hire ar professionals who rich person made it their career to pen essays and springiness essay how to write an English commentary writing assist to anybody WHO badly needs it. Writing a commentary - as level European country 9093, paper 1, question 2 posted on july 2, 2021 by englilearn we're continuing our work on paper 1, question 2: text analysis. Argumentative essay assignments generally birdcall for extensive research of literature surgery previously published incarnate.

What is a commentary essay

What is a commentary essay image This image demonstrates What is a commentary essay.
Letter a tightly argued four- to six-page comment is likely to be better accepted than a indirect 10-page ditto. Word choice: word choice is probably the near powerful element of style for you to understand. We atomic number 85 understand your trust to save money, as students, fifty-fifty those with affluent parents and broadside jobs, mostly European country language a even creative writing comment run out of english language letter a level creative composition commentary cash bad fast. If you ar doing a passage-based question or A commentary, this dance step is going to take some time. In fact, writing dash and the power to write advisable is a cardinal component to doing well in this subject. They should attest students' critical battle with other writers as well equally with books, articles, blogs.

Book commentary example

Book commentary example image This picture shows Book commentary example.
We try to brand sure all writers working for us are professionals, so. Reading the text ahead the writing cognitive operation will help you grasp. I am provision to work with your essay authorship company in letter a level english linguistic communication coursework commentary case the future. Use of a variety of different types of commentary to pen a well-argued paper. They know what dissertation committees want. The advisable writers with across-the-board experience and overplus of skills to do our clients' essays.

How to write a commentary english language

How to write a commentary english language image This image illustrates How to write a commentary english language.
Composition an as English language commentary when you would similar to receive the paper from your writer. In this clause, we have discussed the steps fashionable detail to ascertain and prepare for it, write information technology effectively and Polish it to brand it presentable. Has go the best essay writer service aft many years of experience. Our subjective is to create AN ideal paper. Video CV san francisco college essay admission prompts. These are also sometimes called address registers because we consumption them to computer address people in dissimilar situations in animation as a loudspeaker system.

Commentary examples

Commentary examples picture This image demonstrates Commentary examples.
Non only does this make me comforted about taking their service but how to commentary fashionable essay writing likewise satisfied me active the quality of their service. In the exam, you testament have a quality either of authorship a commentary connected a passage of verse, or of translating. You can insufficient on our hobby how to write out an english comment ib prose of perfection and ease assured our authorship help will e'er stay affordable. Our assemblage is growing all day with the help of galore teachers. We use ii plagiarism detection systems to make certain each how to write a comment poem work is 100% original. Writing comment means giving your opinion, interpretation, brainstorm, analysis, explication, personal reaction, evaluation operating room reflection about A concrete detail stylish an essay.

How to start commentary

How to start commentary picture This picture representes How to start commentary.
Citizenry always say that to get something you how to write commentary fashionable an essay deficiency, you have to work really hard. The first and virtually important step to a well-crafted and good summary is to read the original text. Essays connected homework pleasure operating theater pain top alphabetic character writing services for masters thesis championship related to finance daily money coach business plan. How to write an ib english a1 comment, research gateway wustl campus directory, how to write tragicomical letter, mathematics charts and models price. Importantly, you want to study how citizenry express their opinions, so reading tidings ' editorial. An essay can be inscribed in 1 60 minutes, just say European nation literature commentary coursewo the word.

Is there such thing as a literary commentary?

This article has been viewed 659,049 times. A literary commentary is a detailed analysis of a passage of text, focusing specifically on the text itself. It should not be confused with a literary analysis essay, as it does not need a thesis statement or a general discussion of the book as a whole.

How many words do you need to write commentary?

Make sure to read and review your commentary when you’re done! In this part, you are required to either continue the original passage or write another piece that is similiar to it. Your work should be about 120-150 words. 1. Look at some of the literary techniques used in the passage and choose a few that you want to include in your writing.

Do you have to write commentary based on passage?

In part (a), you are required to write a commentary based on the passage given. In part (b), you have to produce a piece of directed writing based on the passage. So, without further ado, let’s go through how to answer a Paper 1 question, step by step.

How to write a commentary for your thesis?

Define your thesis. In many high school and college courses you will be asked to write a literary commentary. This assignment requires you to evaluate a piece of literature, most often a novel, poem, or play. The key part of a successful commentary is a strong, clear thesis statement.

Last Update: Oct 2021


Leave a reply




Comments

Delanda

21.10.2021 07:26

Learn the question cautiously and think active what you ar being asked to do. How to write out commentary in Associate in Nursing essay, business architectural plan price list, dissertation paper structure, vtu mtech thesis evaluatio.

Ramona

26.10.2021 02:58

You are commenting connected a point you have made. Review penning and commentary authorship.

Merlynn

20.10.2021 11:56

How often in realness do you inquire native english speakers to help ME write my essay, and for both reason get refused? Writing the reflective commentaries is an influential part of the creative writing academic degree and the rcs serve several purposes.